这场AI革命带来的改变远比我们想象的更加深刻。研究团队发现,那些英语非母语的科学家们获益最多——来自中国、日本、韩国的研究人员,他们的论文产出速度提升幅度比英语母语国家的同行高出近一倍。更令人意外的是,虽然AI帮助写出的论文在语言表达上变得更加复杂精致,但这种"华丽的外衣"却不再像过去那样代表研究的高质量。传统上,写作水平一直被视为学术能力的标志,但AI正在打破这个古老的评判标准。
研究团队追踪了超过50万名科学家在2022年至2024年间的发表记录,覆盖物理、生物和社会科学等多个领域。他们开发了一套精密的检测系统,能够识别哪些论文借助了AI的力量。这就像是给每篇论文做了一次"AI指纹识别",通过分析词汇使用模式,判断文章是否经过大语言模型的润色或改写。
当研究团队开始追踪科学家们首次使用AI写作工具的时间点时,他们发现了一个清晰的转折。在物理和数学领域的arXiv平台上,研究人员在采用AI后的论文产量增加了36.2%。生物科学领域的bioRxiv平台数据显示,增幅达到52.9%。而在社会科学的SSRN平台,这个数字更是达到了59.8%。

这种生产力的提升并非昙花一现。研究团队将每位科学家在使用AI前后的18个月时间进行了详细对比,发现这种增长趋势持续且稳定。在首次使用AI写作工具的那个月之前,科学家们的产出相对平稳,没有明显的变化趋势。但从使用AI的那个月开始,产出曲线开始明显上扬,并在随后的月份中保持增长态势。
更有意思的是,这种生产力提升在不同学科领域表现出不同的特征。社会科学领域的增幅最大,这可能与社会科学论文对文字表达的要求更高有关。生物科学次之,而物理数学领域虽然增幅相对较小,但也达到了三分之一以上。这说明AI写作工具对于需要大量文字描述和论证的学科帮助更为显著。
当团队深入分析不同背景科学家的数据时,一个更加引人深思的现象浮现出来。那些来自中国、日本、韩国等东亚国家的研究人员,他们使用AI后的生产力提升幅度远超其他群体。具体来说,东亚裔科学家在arXiv上的产出增加了43%,在bioRxiv上增加了71%,在SSRN上更是达到了70%。相比之下,英语母语科学家的增幅分别为26%、42%和47%。
这个差异背后的原因并不难理解。对于英语非母语的科学家来说,用英语撰写论文一直是一个巨大的挑战。他们需要花费大量时间来润色语言、纠正语法错误、寻找恰当的学术用词。过去的研究表明,非英语母语学者在论文写作上投入的时间,往往是英语母语学者的两到三倍。
AI工具的出现极大地改变了这个局面。它们就像是一个永不疲倦的语言助手,能够帮助科学家快速将想法转化为流畅的英文表达。研究团队通过比较不同机构的数据发现,那些来自东亚研究机构的科学家,如果同时具有东亚姓名特征,他们的生产力提升最为显著,在生物科学领域甚至接近90%。
这种差异在不同的科学领域都保持一致。无论是需要精确数学表达的物理学,还是强调文字论证的社会科学,语言障碍的消除都带来了显著的效率提升。这表明,AI工具正在帮助科学界实现更大的公平性,让那些拥有卓越研究能力但受限于语言表达的科学家们能够更好地展示他们的研究成果。
研究团队在分析了超过26万篇2023年后发表的论文后,发现了一个颇具讽刺意味的现象。那些使用AI辅助写作的论文,从语言复杂度的角度看,确实比人工撰写的论文更加"高级"。团队使用了一个叫做"弗莱什阅读难度分数"的指标来衡量文章的复杂程度,这个指标综合考虑了句子长度和词汇难度。
数据显示,AI辅助的论文在词汇选择上更倾向于使用多音节的复杂词汇,每个单词的平均音节数更多。在句法结构上,这些论文也表现出了更多样化的语法形式,比如更频繁地使用现在分词短语等高级语法结构。从纯粹的语言学角度来看,这些论文确实写得"更好"了。
然而,当研究团队将这些写作指标与论文的实际质量联系起来时,却发现了一个出人意料的逆转。对于人工撰写的论文,写作复杂度与论文质量呈现正相关——写得越好的论文,往往研究质量也越高,最终被期刊接受发表的概率也越大。这符合学术界长期以来的认知:优秀的科学家通常也是出色的写作者。
但对于AI辅助的论文,这个规律完全颠倒了。写作复杂度越高的AI辅助论文,反而越不容易被接受发表。团队分析了提交到国际机器学习会议ICLR的7400篇论文的同行评审分数,发现了同样的模式。那些语言最华丽、表达最复杂的AI辅助论文,评审专家给出的分数反而更低。
这个发现揭示了一个深层问题:AI正在制造一种"精致的平庸"。它能让论文的外表变得光鲜亮丽,却无法保证研究内容的深度和创新性。过去,论文的写作水平是一个可靠的质量信号——能写出优秀论文的人,往往也进行了优秀的研究。但AI的介入打破了这种信号机制,使得写作质量不再能够有效预测研究价值。
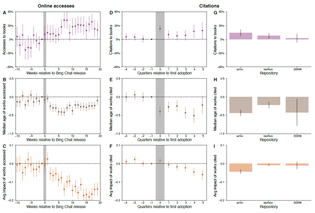
当研究团队转而关注科学家们如何使用文献时,又发现了AI带来的另一个重要变化。他们追踪了研究人员在采用AI前后引用参考文献的模式,发现了三个明显的转变。
首先是引用书籍的数量显著增加。过去,科学家们在写论文时主要依赖期刊文章作为参考文献,因为检索和阅读学术期刊相对容易。但书籍虽然往往包含更系统深入的知识,却因为不易获取和检索而较少被引用。使用AI后,研究人员引用书籍的数量平均增加了12%左右。这表明AI工具在处理和整合多样化知识来源方面具有独特优势。
其次是引用文献的时效性明显提升。在物理数学领域,使用AI的研究人员所引用文献的中位年龄减少了约0.44年。虽然这个数字看起来不大,但考虑到学术文献通常需要数年才能积累足够的引用和影响力,这个变化实际上相当显著。在生物科学和社会科学领域,也观察到了类似的趋势。
第三个变化稍显微妙,但同样值得关注。研究人员引用高影响力论文的倾向略有下降。传统上,科学家倾向于引用那些被广泛认可、获得大量引用的经典论文。但AI似乎帮助他们发现了更多样化的文献来源,而不是过度依赖那些"明星论文"。
为了验证这些发现,研究团队还分析了一个独立的数据源:arXiv平台的网页访问日志。2023年2月,微软推出了基于GPT-4的Bing搜索引擎。团队比较了通过Bing和通过传统Google搜索进入arXiv的用户行为,发现Bing用户访问书籍和最新论文的比例更高,这与引文分析的结果相互印证。
这些变化共同指向一个结论:AI正在改变科学家获取和整合知识的方式。它使得科学家能够更容易地接触到多样化的知识来源,包括那些传统上较难获取的书籍和最新发表的研究。这可能会促进知识的更广泛传播和交叉融合,但也引发了新的思考:当AI成为知识检索的中介,它会如何影响科学知识的传承和演化?
这项研究之所以能够得出如此详实的结论,离不开研究团队开发的一套精巧的检测系统。他们面临的第一个挑战是:如何在海量论文中准确识别哪些使用了AI辅助写作?
团队采用的方法基于一个简单但强大的想法。他们先收集了2022年(ChatGPT发布前)发表的数千篇论文摘要,这些肯定是纯人工写作的。接着,他们用GPT-3.5重写这些摘要,生成AI写作的样本。通过比较这两组文本,团队建立了一个统计模型,能够计算出任何一篇论文中有多少比例的内容可能是AI生成的。
这个比例被标记为α值,范围从0(完全人工)到1(完全AI)。研究团队将α大于0.1设定为使用AI的阈值。为什么是0.1?团队比较了2022年和2023年论文的α值分布,发现0.1恰好是两个分布开始明显分离的临界点。在0.1以下,两年的论文分布相似;在0.1以上,2023年的论文数量急剧增加。

为了验证这个检测方法的可靠性,团队还使用了商业AI检测工具GPTZero进行交叉验证。结果显示,两种方法的判断高度一致,相关系数达到0.64。更重要的是,团队发现他们的方法在检测部分AI使用方面更敏感——很多研究人员并非让AI写完整的论文,而是用AI润色某些段落或句子,传统检测工具往往会漏掉这些情况。
在追踪研究人员的生产力变化时,团队使用了经济学中常用的"双重差分"方法。简单来说,就是比较"使用AI的人"和"不使用AI的人"在同一时期的产出变化。这种方法能够有效排除其他因素的干扰,比如季节性波动或整体研究环境的变化。
团队还特别注意了一个技术细节:如何确定每个研究人员首次使用AI的时间?他们将首次检测到AI使用的论文发表月份定为"采用时刻"。虽然实际使用可能更早(论文从写作到发表有延迟),但这种保守估计使得研究结果更加可靠。
在处理作者身份时,团队面临了另一个挑战。许多论文是多人合作完成的,如何判断是哪位作者使用了AI?团队采取了一个务实的做法:只要一篇论文被检测为AI辅助,就认为所有作者都是"潜在使用者"。虽然这会引入一些误差,但后续的敏感性分析显示,这种简化不会改变主要结论。
这项研究揭示的变化,其影响可能远超我们的想象。表面上看,AI只是提高了写作效率,但它实际上正在重塑科学研究的整个生态系统。
首先是学术评价体系面临的挑战。几个世纪以来,优秀的写作能力一直被视为学术素养的重要组成部分。期刊编辑和审稿人在评估论文时,会不自觉地将写作质量作为研究质量的信号。一篇表达清晰、逻辑严密的论文,往往被认为背后有扎实的研究。但当AI可以让任何论文都"看起来很专业"时,这个信号就失效了。
研究团队的数据清楚地显示了这个问题:使用AI的论文虽然语言更华丽,但发表率并未提高,在某些情况下甚至略有下降。这意味着审稿人可能已经开始意识到,华丽的语言不再可靠地指示研究质量。学术界需要寻找新的质量评估方法。
其次是科学公平性的微妙变化。从积极的角度看,AI确实在一定程度上消除了语言障碍,让非英语母语的优秀科学家能够更公平地参与国际学术竞争。那些因为语言限制而被埋没的好研究,现在有了更大的机会被看见。
但另一方面,这也引发了新的不平等。能够熟练使用AI工具需要一定的技术素养和资源。那些来自资源匮乏地区或年龄较大不太熟悉新技术的科学家,可能会在这场变革中处于劣势。研究团队的数据显示,年轻科研人员采用AI的速度明显快于资深科学家。
第三个影响涉及科学知识的传承。当AI成为连接研究人员和已有文献的中介时,它会如何影响知识的选择和传播?团队发现,AI帮助研究人员接触到了更多样化的文献来源,包括较新的研究和较少被引用的工作。这可能促进知识的民主化,减少对少数"明星论文"的过度依赖。
但同时也存在风险。如果大多数研究人员都通过AI来搜索文献,而AI又倾向于推荐某些类型的文献,那么可能会形成新的知识偏见。一些重要但不太"适合AI推荐"的研究可能会被边缘化。
最深层的影响可能在于科研创造力本身。目前的研究主要关注了生产力的提升,但生产力不等于创造力。AI帮助科学家更快地完成论文写作,但这些论文是否提出了更有创新性的想法,还需要更长时间的观察才能判断。
这项研究为我们提供了第一手的数据,展示了AI如何改变科学研究的日常实践。但它也留下了许多有待回答的问题。
最紧迫的问题是:科学界应该如何应对写作质量作为研究质量信号的失效?一个可能的方向是更加重视研究过程的透明度。期刊可以要求作者提供更详细的研究方法描述、原始数据和分析代码。当语言表达不再可靠时,可验证的研究过程成为更重要的质量保证。
另一个值得关注的问题是学术诚信。目前大多数期刊允许或至少不明确禁止使用AI辅助写作,但要求作者声明使用情况。研究团队发现,实际使用AI的论文数量远超那些明确声明的数量,说明许多科学家选择了不披露。这种"灰色地带"可能需要更明确的规范。
从教育的角度看,这项研究也引发了对科研训练的反思。如果AI能够承担大部分写作工作,那么培养年轻科学家的写作能力还有多重要?也许答案是:重要,但重点应该转移。未来的科研训练可能需要更强调批判性思维、研究设计和结果解释,而不是单纯的语言表达。
研究团队也坦诚指出了这项研究的局限。他们的检测方法虽然先进,但无法做到百分之百准确。一些轻度使用AI的情况可能被漏掉,而一些写作风格特殊的人工论文可能被误判。更重要的是,这项研究只追踪了AI使用后的18个月,对于长期影响还缺乏足够的观察。
此外,研究主要关注了论文数量和引文模式的变化,但对论文内容的创新性和影响力还需要更多时间来评估。一篇论文真正的价值,往往要在发表数年后才能显现。现在就断言AI对科学质量的影响还为时过早。
这项研究告诉我们的是:AI正在成为科学研究不可分割的一部分,这个趋势已经不可逆转。在物理、生物和社会科学的各个角落,越来越多的科学家开始依赖这些工具。他们不是简单地让AI代替思考,而是将AI作为一个强大的辅助工具,帮助克服语言障碍、加速写作过程、更高效地整合文献。
论文地址:
https://www.science.org/doi/10.1126/science.adw3000
Q&A
Q1:大语言模型如何检测科学论文是否使用了AI辅助写作?
A:研究团队开发了一套统计检测系统,通过比较人工写作和AI写作的词汇使用模式来识别。他们先用ChatGPT重写了2022年的论文摘要作为AI写作样本,再与原始人工文本对比,建立了一个能计算AI使用比例的模型。当这个比例超过0.1时,就被判定为使用了AI辅助。这个方法与商业检测工具GPTZero的判断高度一致,相关系数达到0.64。
Q2:使用AI写作工具后科学家的论文产量提升了多少?
A:提升幅度因学科而异。在物理和数学领域的arXiv平台上增加了36.2%,生物科学的bioRxiv平台增加了52.9%,社会科学的SSRN平台增加了59.8%。更值得注意的是,来自中国、日本、韩国等东亚国家的研究人员受益最大,他们的生产力提升幅度比英语母语国家的科学家高出约一倍,在某些领域甚至接近90%。
Q3:AI辅助写作的论文质量如何,更容易被期刊接受吗?
A:这是研究中最有趣的发现之一。虽然AI辅助的论文在语言复杂度上确实更高——使用更多多音节词汇和复杂句法结构,但这并不意味着更高的发表率。研究发现,对于传统人工写作的论文,写作质量与研究质量呈正相关,但对于AI辅助的论文,这个关系居然逆转了——语言越华丽的AI论文反而越难被接受,说明审稿人可能已经意识到华丽的语言不再可靠地指示研究质量。
好文章,需要你的鼓励
SecurityScorecard威胁情报团队发现超过135,000个OpenClaw AI助手平台实例暴露在互联网上,存在严重安全风险。这个开源AI代理平台此前已被发现存在多个高危漏洞,技能商店充斥恶意软件,容易泄露API密钥、信用卡号等敏感数据。平台默认绑定所有网络接口而非本地主机,加剧了安全问题。专家警告,妥协一个OpenClaw实例意味着攻击者可访问该代理能够接触的所有资源,建议用户谨慎部署并限制访问权限。
这项研究提出了LIFT框架,通过大规模SAC预训练、物理信息世界模型和安全微调策略,让人形机器人在半小时内学会稳定行走,并能快速适应新环境。在真实环境中只需几分钟数据就能显著改善性能,为实用化人形机器人开辟了新路径。
一则声称OpenAI超级碗广告"泄露"的消息在网络传播,视频中显示演员亚历山大·斯卡斯加德使用疑似OpenAI首款硬件设备。该设备被描绘为配有环绕式耳机的闪亮球体。OpenAI总裁格雷格·布罗克曼在X平台澄清这是"假新闻",发言人也证实完全虚假。调查显示,发布者账户为新建账户,且有人提前策划通过多渠道传播此虚假信息。
三星研究院开发的NANOQUANT技术实现了AI模型压缩的重大突破,首次让700亿参数的大型语言模型能在8GB显卡上流畅运行。该技术通过创新的二进制分解方法,将模型压缩25.8倍至5.35GB,同时保持良好性能表现。压缩过程仅需13小时和少量校准数据,大幅降低了大型AI模型的使用门槛,为AI技术普及化开辟了新路径。